本期导读
TMS在儿童和青少年精神疾病中的应用
TMS在儿童脑瘫中的应用
TMS在孤独症中的应用
TMS在孤独症共病难治性抑郁中的应用

本综述系统地回顾了重复经颅磁刺激(repetitive transcranial magnetic stimulation,rTMS)对儿童和青少年精神疾病影响的研究(78项研究,共计1389名被试,年龄3-25岁,疾病覆盖:抑郁障碍、孤独症谱系障碍、精神分裂症、强迫症、抽动秽语综合征、注意力缺陷多动障碍、边缘性人格障碍、厌食症、暴饮暴食、紧张症和网络游戏成瘾),以
(1) 评估rTMS对疾病特异性症状和损伤的影响,
(2) 确定rTMS对情绪和神经认知结果的影响,
(3) 概述正在进行的试验和未发表的数据中研究的人群和方法。


02 TMS在儿童脑瘫中的应用:《小儿脑瘫患者在非侵入性脑刺激和纳米医学的新治疗策略》

重复经颅磁刺激(rTMS)作为一种新的潜在治疗脑瘫(Cerebral Palsy,CP)的工具,具有减轻痉挛和改善患者步态模式的能力。
1.一项针对患有痉挛性脑瘫的儿童的研究,刺激方案为:高频rTMS(5Hz或10Hz),每次治疗15分钟,共1500个脉冲,一个疗程20天。据观察,肌肉痉挛明显减轻,手部功能明显增强。较低频率(5Hz)对 2-6岁年龄组的偏瘫CP患者更有效,而较高频率(10Hz)则对较大年龄组的偏瘫和四肢瘫痪患者有恢复效果。
2.一名轻度共济失调的CP患儿,在对右侧背外侧前额叶皮层进行为期8个月、每周5天、频率0.5Hz(单次治疗包括5组脉冲,每组121个脉冲)的rTMS治疗后,运动和认知功能以及功能网络连接都逐步得到了改善。
3.对偏瘫CP患者的健侧初级运动皮层进行为期3周、每周4天的1Hz rTMS——结果表明低频rTMS可诱导白质结构连通性发生变化,并改善患者的运动功能。在一段时间内增加恒定频率的治疗次数也能显著促进运动功能的恢复。

不同模式的无创脑刺激(NIBS)技术
03 TMS在孤独症中的应用:《经颅磁刺激治疗孤独症谱系障碍的系统综述》 IF=4.0

该综述纳入了2018年以后发表的17篇文章,包括7篇随机对照试验研究和10篇开放标签研究。总体而言,TMS治疗孤独症谱系障碍(Autism Spectrum Disorder,ASD)的研究在偏倚风险、刺激部位、刺激参数等方面表现出明显的多样性。但研究结果普遍表明,TMS对ASD的刻板行为、重复行为、言语和社交方面有积极影响,干预后所有量表评分得到整体改善。为加强证据基础,未来的研究应优先考虑随机、双盲、假对照试验。此外,为了更全面地评估TMS疗效,在进行常规行为评估的同时,还必须纳入生理指标的变化。

TMS治疗ASD的方案参数

TMS治疗ASD的刺激靶点及其定位方法

TMS治疗ASD后神经影像学标记物的变化
03 TMS在孤独症中的应用:《评估重复经颅磁刺激对孤独症谱系障碍有效连通性的影响:TMS-EEG分析的初步探索》 IF=4.0

该研究使用经颅磁刺激联合脑电图探究了rTMS诱导的孤独症谱系障碍ASD患儿有效连通性的改变——从12名诊断为ASD的儿童中获取rTMS治疗前后的TMS-EEG数据。干预方案为:对左顶叶进行高频15Hz rTMS,刺激时间5s,间隔时间10min,共375个脉冲,每周5天,持续3周,共15次治疗。动态脑电图网络分析显示,rTMS干预后,ASD患者大脑内的远程反馈连接(如额叶至顶叶区、额叶至枕叶区、额叶至后颞叶区)得到加强,而近距离连接(如双侧枕叶区、枕叶至后颞叶区)减弱。治疗后的临床量表评分变化与脑网络连通性的改变相一致,基本的ASD症状也得到相应的改善。

研究设计:(a) rTMS干预。(b)有效连通性分析。
04 TMS在孤独症共病难治性抑郁中的应用:《加速θ爆发式经颅磁刺激治疗孤独症谱系障碍患者的难治性抑郁》 IF=4.3

背景
治疗ASD的难治性抑郁障碍非常具有挑战性,通常需要多种药物治疗或存在较高副作用的治疗方法。虽然rTMS对难治性抑郁障碍的疗效已经得到了很好的证实,但对ASD进行大规模的干预仍面临挑战。这项开放标签试验证明了加速θ爆发式刺激(accelerated Theta Burst Stimulation,aTBS)治疗ASD患者难治性抑郁的有效性和安全性。
方法
干预:
刺激方案:
①双侧刺激组:左背外侧前额叶iTBS+右背外侧前额叶cTBS,各600脉冲,90%RMT(两个半球分别测定)。每天3次。
②单侧刺激组:左背外侧前额叶iTBS,600脉冲,90%RMT。每天3次。
每次TBS治疗间隔50min。
考虑到有感觉超敏反应的被试,在前两天的治疗中,从50%RMT开始,根据每个被试的耐受性,每次增加10-20%,逐步增加至目标刺激强度(90%RMT)。
评估:
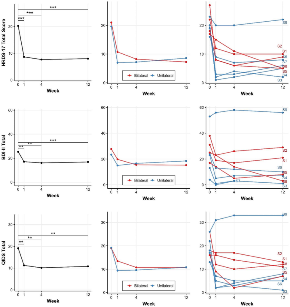
主要结局:HDRS-17量表。
次要结局:BDI-II贝克抑郁自评量表;Quick Inventory of Depressive Symptomatology (QIDS) 抑郁症状快速自评量表;physician-administered Columbia-Suicide Severity Rating Scale (C-SSRS) 哥伦比亚自杀严重程度评定量表;Suicide Behavior Questionnaire (SBQ)自杀行为量表;Generalized Anxiety Disorder-7 item (GAD-7) 广泛性焦虑量表7项;Pittsburgh Sleep Quality Inventory (PSQI)匹兹堡睡眠质量量表,Social Responsiveness Scale (SRS) 社会反应量表,NIH Cognitive Toolbox NIH认知工具箱。

结果
主要结局表明,无论刺激部位如何,aTBS治疗均与抑郁症状的显著、实质性和持续改善相关。其他次要结局,包括自我报告抑郁量表、流体认知和睡眠质量,也表现出显著改善。

抑郁量表评分变化轨迹
结论
aTBS治疗在ASD并发MDD患者中有效且耐受性良好。但仍需一个更大的、随机假对照试验来进一步评估aTBS在这一人群中的疗效。
相关推荐: