对于WM-DF任务,每次试验开始时固定500毫秒。然后,在固定的左右两侧分别呈现两个项目,持续1000 ms。在500 ms空白后,在注视的一侧呈现一个提示,持续500 ms。在4000毫秒的空白之后,搜索数组将呈现长达5000毫秒的时间,并在受试者按键后消失。在1000毫秒的空白之后,进行记忆测试,并在2000毫秒进行反应(图1)。正式实验包括240个试次(每种情况40个试次)。每组60个试次后,受试者进行短暂休息(2分钟)。

在记忆测试中,受试者被要求通过按键盘上的“Z”或“M”来反应所呈现的项目是否与TBR项目相同。记忆测试只测试TBR(有意TBR和替代TBR)项的记忆。
4、TMS刺激方案
使用经颅磁刺激仪(M-100 Ultimate,深圳英智科技有限公司,中国深圳)的八字形线圈(BY-90A)进行10Hz的高频刺激,刺激强度设置为110%的静息运动阈值(RMT)。
线圈的位置根据国际10-20 EEG系统确定,其中F4为右侧DLPFC的位置,F7为左侧VLPFC刺激的位置,Cz代表顶点,由于顶点刺激对正在进行的任务相关过程的影响最小,因此本研究中用作控制条件。
经颅磁刺激分别作用在左腹外侧前额叶皮层(VLPFC)、右背外侧前额叶皮层(DLPFC)和顶点区。利用SimNIBS软件对模拟电场进行了图示(图1)。一共进行了33次刺激,每次持续3秒,每次刺激间隔20s,在12.2 min内的脉冲总数为990次。
5、数据分析
对于视觉搜索任务,分别以搜索类型(有意TBR匹配、被动TBR匹配、替代TBR匹配、主动TBR匹配、IR不匹配和IF不匹配)和刺激位置组(右DLPFC、左VLPFC和顶点)作为被试间因素对搜索精度和logRT进行重复测量方差分析。不同项目类型的ACE是通过从匹配试验中减去不匹配试验的logRT来计算的。
对于ACE,以项目类型(有意TBR、被动TBF、替代TBR和主动TBF)作为被试内变量,以组为被试间变量,进行重复测量方差分析。
三、研究结果
1、视觉搜索任务的结果
对于检索精度,方差分析显示实验类型是主要影响因素。两两比较显示:
(1)与替代TBR匹配和主动TBR匹配实验相比,IF不匹配的准确性更高。
(2)被动TBF匹配试验的准确性高于非IR匹配试验;在有意TBR匹配试验和IR非匹配试验之间没有发现准确性差异。各组主效应和实验类型与组间交互作用均不显著。
简单效应分析显示:
(1)三组中,与IR不匹配的试验(即有意TBR项目的ACE)相比,有意TBR匹配的logRT更长。
(2)在左侧VLPFC组中,被动TBF匹配组的logRT(即被动TBF项目的ACE)比IR不匹配组更长,而在顶点组和右侧DLPFC组中则没有。
(3)与IF不匹配试验相比,三组替代TBR匹配和主动TBF匹配实验(即替代TBR和主动TBF项目的ACE)的logRT均较长。(表1)
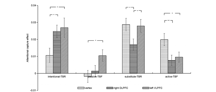
ACE项目类型与组交互作用显著。简单效应分析结果表明:
(1)三组TBR(有意TBR和替代TBR)项目的ACE均大于TBF(被动TBF和主动TBF)项目;
(2)顶点组替代TBR的ACE大于有意TBR项目,而右DLPFC组和左VLPFC组的ACE均大于有意TBR项目;顶点组主动TBF的ACE大于被动TBF,但右DLPFC组和左VLPFC组的ACE均大于被动TBF ;
(3)对于有意TBR,与顶点组相比,右侧DLPFC 和左侧VLPFC的ACE均增加。右侧DLPFC组与左侧VLPFC组间无差异;
(4)对于替代TBR,左侧VLPFC组和顶点组的ACE均大于右侧DLPFC组和顶点组。左侧VLPFC与顶点组间无差异;
(5)对于被动TBF,左侧VLPFC与顶点组相比ACE值较大,但与右侧DLPFC组相比ACE值较小,右侧DLPFC与顶点组之间无差异;
(6)与顶点组相比,右侧DLPFC组和左侧VLPFC组的ACE均有所降低。右侧DLPFC组和左侧VLPFC组间无显著差异(图2)。

表1 不同组中不同搜索类型的平均搜索RT

四、研究结论
除了右侧DLPFC和顶点组的被动TBF项目外,所有项目类型的反应时都比干扰物匹配实验(即ACE)更长。这些记忆项目作为搜索数组中的干扰物捕获了受试者的注意力,表明这些项目被保存在工作记忆中。更重要的是,与 TBF 项目相比,TBR 项目在所有组中都表现出更高的 ACE 值,这表明 TBR 项目在记忆痕迹方面优于 TBF 项目(即 DF 效应)。这些发现表明,受试者能够根据线索成功地操纵工作记忆中存储的信息。
刺激右DLPFC或左VLPFC能够促进主动遗忘。右侧DLPFC的激活可能会改善主动忘记(TBF)项目的直接抑制,从而促进在涉及明确记忆线索的条件下对要记住(TBR)项目的选择性重复。左侧VLPFC的激活可以改善思维替代过程,在与明确遗忘提示有关的条件下增强对TBR项目的记忆和对TBF项目的记忆抑制。遗忘是一个主动的过程,可以通过非侵入性的大脑刺激来调节。